E-619 High-Power Amplifier for Piezo Actuators
Modular System for Continuous Dynamic Applications
- Peak power up to 1200 W
- High currents to 10 A
- Low power consumption due to integrated energy recovery
- Bandwidth to 20 kHz for high dynamics applications
- Overheat protection for piezo actuators with temperature sensor
- Optional upgrade for control and digital interfaces





High-power amplifier for piezo actuators
High peak current, >5 A continuous current. High bandwidth for high dynamics. Suitable for PICMA® piezo actuators with special electrodes. Output voltage -30 to 130 V. Analog control. Evaluation of temperature sensor protects the piezo actuator against overheating
High degree of efficiency
Class-D switched amplifier with capacitor for energy recovery. Low influence of the application thanks to reduced heat dissipation
Optional servo controller upgrade
Optional control module for nanopositioning systems with integrated position sensors (SGS, capacitive). Optional interface module with wave generator, data recorder, digital interfaces (TCP/IP, USB, RS-232, SPI). Optional driver set for use with D/A converter boards from National Instruments and NI LabVIEW software
Application fields
Mechanical engineering: High dynamics placement, vibration absorber, noncircular grinding, valve control, materials testing, test equipment
High dynamics tip/tilt mirror applications
Specifications
Specifications
Amplifier | E-619.H / E-619.00 | E-619.S |
|---|---|---|
Input voltage range | -2 to 12 V | - |
Output voltage | -30 to 130 V | 100 V |
Peak output power (<5 ms) | 1200 W | 1200 W |
Average output power (>5 ms) | Equivalent to 800 VA reactive power | Equivalent to 800 VA reactive power |
Peak current (<5 ms) | 10 A | 10 A |
Average output current (>5 ms) | >5 A | >5 A |
Current limitation | Short-circuit proof | Short-circuit proof |
Voltage gain | 10 ±0.1 | - |
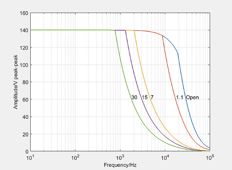
Amplifier bandwidth, small signal | 20 kHz / 3 kHz | - |
Ripple, noise, 0 to 10 kHz | <2 mVrms | <2 mVrms |
Capacitive base load (internal) | 2 µF / 1 µF | 2 µF |
Recommended piezo load | >1 µF | >1 µF |
Output impedance | 0.1 Ω; 53 µH; 2 µF / 0.1 Ω; 1 mH; 1 µF | 0.1 Ω; 53 µH; 2 µF |
Amplifier resolution | <2 mV | <2 mV |
Amplifier classification | Class D, switched 400 kHz / 100 kHz | Class D, switched 400 kHz |
Input impedance | 100 kΩ | - |
Interfaces and operation | E-619.H, E-619.00 | E-619.S |
|---|---|---|
Piezo connection | LEMO EGG.1B.302.CLL, with safety cover | LEMO EGG.1B.302.CLL, with safety cover |
Analog input | SMB | - |
Temperature sensor (piezo actuator) | PT 1000; LEMO FFA.OS.303.CLAC32 Max. 150 °C, deactivation of the voltage output | - |
Display and indicators | LEDs for Power, Temp Overflow | Power LED |
DC offset setting | 10-turn potentiometer, adds 0 to 10 V to the input voltage | - |
Miscellaneous | E-619.H, E-619.00, E-619.S | E-619.R1 / E-619.R3 |
|---|---|---|
Operating voltage | Supply via E-619 housing | 100 - 240 V~, 50 - 60 Hz |
Max. power consumption, full load | <150 W | 150 VA / 360 VA |
Max. power consumption without load | 20 W | 30 VA / 80 VA |
Operating temperature range | 5 to 40 °C | 5 to 40 °C |
Mass | 3.5 kg | 10 kg / 18 kg |
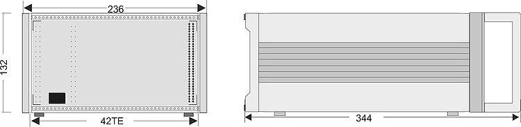
Dimensions | 21 HP/3 U | 236 × 132 × 296 mm (without handles) / |
Downloads
Datasheet
Documentation
User Manual PZ288
E-619 Modular High-Power Amplifier System for Dynamic Continuous Applications
Quote / Order
Ask for a free quote on quantities required, prices, and lead times or describe your desired modification.













